AUTORIDAD
REGULADORA DE LOS SERVICIOS PÚBLICOS
(Esta
norma fue derogada mediante resolución N° RE-0106-JD-2023 del 7
de noviembre del 2023 "Metodología para el ajuste extraordinario de las tarifas
del servicio de electricidad producto de variaciones en el costo de los
combustibles utilizados en la generación térmica para consumo nacional y las
importaciones netas de energía eléctrica del mercado eléctrico regional
(Metodología de Costo Variable de Generación o CVG)")
Mediante
acuerdo 05-23-2019, del acta de la sesión 23-2019, celebrada el 14 de mayo de
2019, cuya acta fue ratificada el 21 de mayo del mismo año, la Junta Directiva
de la Aresep resolvió dictar la "METODOLOGÍA PARA EL AJUSTE EXTRAORDINARIO
DE LAS TARIFAS DEL SERVICIO DE ELECTRICIDAD PRODUCTO DE VARIACIONES EN EL COSTO
DE LOS COMBUSTIBLES UTILIZADOS EN LA GENERACIÓN TÉRMICA PARA CONSUMO NACIONAL Y
LAS IMPORTACIONES NETAS DE ENERGÍA ELÉCTRICA DEL MERCADO ELÉCTRICO REGIONAL,
DICTADA POR LA JUNTA DIRECTIVA, (METODOLOGÍA COSTO VARIABLE DE GENERACIÓN O
CVG)", cuyo texto se copia a continuación:
RESOLUCIÓN
RE-0100-JD-2019
ESCAZÚ,
A LAS ONCE HORAS DEL CATORCE DE MAYO DE DOS MIL DIECINUEVE
METODOLOGÍA PARA EL AJUSTE EXTRAORDINARIO DE
LAS TARIFAS DEL SERVICIO DE ELECTRICIDAD PRODUCTO DE VARIACIONES EN EL COSTO DE
LOS COMBUSTIBLES UTILIZADOS EN LA GENERACIÓN TÉRMICA PARA CONSUMO NACIONAL Y
LAS IMPORTACIONES NETAS DE ENERGÍA ELÉCTRICA DEL MERCADO ELÉCTRICO REGIONAL,
DICTADA POR LA JUNTA DIRECTIVA.
(METODOLOGÍA
COSTO VARIABLE DE GENERACIÓN O CVG)
EXPEDIENTE
OT-010-2017
RESULTANDO:
I. Que el 19 de marzo del 2012,
mediante la resolución RJD-017-2012, publicada en La Gaceta Nº 74 del 17 de
abril del 2012, la Junta Directiva de la Autoridad Reguladora de los Servicios
Públicos (en adelante Aresep) aprobó la "Metodología para el ajuste
extraordinario de las tarifas del servicio de electricidad, producto de
variaciones en el costo de los combustibles (CVC) utilizados en la generación
térmica para el consumo nacional" (en adelante Metodología del CVC),
tramitada en el expediente OT-111-2011.
II.
Que el 1 de
noviembre del 2012, mediante la resolución RJD-128-2012, publicada en el
Alcance Digital Nº 197 de La Gaceta N° 235 del 05 de diciembre del 2012, se
aprobó una modificación a la resolución RJD-017-2012 de la Metodología del CVC.
Esta
metodología, se ha aplicado en 21 estudios tarifarios, lo cual ha permitido
acumular una significativa experiencia sobre la misma.
III.
Que el 6 de
junio del 2015, mediante el oficio 1225-IE-2015, la Intendencia de Energía (en
adelante IE) remitió a la Junta Directiva una propuesta de modificación a la
citada metodología en 5 aspectos. (Folios 07 a 091).
1Esta referencia y las demás mencionadas hasta el
Resultando N° XII (inclusive) se refieren al expediente OT-010-2016.
IV.
Que el 9 de
noviembre del 2015, mediante el oficio DE-016-2015, la Asociación Costarricense
de Grandes Consumidores de Energía (en adelante ACOGRACE), solicitó modificar
la metodología del CVC. (Folios 13 y 14).
V. Que el 17 de diciembre del 2015,
mediante el oficio 1040-RG-2015, el Regulador General (en adelante RG) nombró
la Comisión Ad Hoc con el objetivo de "preparar una propuesta de
modificación a la metodología tarifaria de Costo Variable de Combustible (CVC)".
(Folios 01 y 02).
VI.
Que el 04 de
enero de 2016, mediante el oficio 005-IE-2016, la IE remitió al RG una nueva
propuesta de modificación de la Metodología del CVC. (Folios 132 y siguientes
también del OT-10-2016).
VII.
Que el 13 de
enero del 2016, mediante el oficio 001-RGA-2016, la Reguladora General Adjunta
procedió a cambiar la composición de la citada Comisión Ad Hoc. (Folio 04).
VIII.
Que el 22 de
enero del 2016, mediante el oficio 01-CCVC-2016, la Comisión Ad Hoc informó a
todas las empresas eléctricas afectadas por la metodología del CVC, sobre su
designación y sus objetivos, les solicitó remitir el criterio de cada una con
respecto a los cambios que se proponen en esta metodología y las invitó a
participar de una reunión de coordinación sobre este tema. (Folio 16 y 17).
IX.
Que el 18 de
febrero de 2016, se realizó una reunión con todas las empresas distribuidoras,
la IE y la Comisión Ad Hoc, para que estas empresas, expusieran sus propuestas
de cambios a la citada metodología, con el fin de que fueran analizadas por la
Comisión (folios 122-123 y folio 153). Algunas de estas empresas, remitieron
posteriormente sus propuestas de
cambios por escrito y constan en el expediente OT- 010- 2016. (Folios 64 a 108
y 115 a 120).
X. Que el 28 de abril del 2016 y el
5 de mayo del 2016, mediante las sesiones ordinarias 25-2016 y 26-2016, la
Junta Directiva de la Aresep, analizó las propuestas de cambios en la
metodología tarifaria planteadas por parte de la Comisión Ad Hoc.
XI.
Que el 20 de
setiembre del 2016, mediante el oficio 225-CDR-2016, la Dirección General
Centro de Desarrollo de la Regulación (en adelante CDR), procedió a formalizar
un nuevo Equipo Desarrollador "de la nueva propuesta de la metodología
tarifaria conocida como Costo Variable de Combustible (CVC)",
encomendándosele continuar con la labor realizada hasta ahora por la Comisión
Ad Hoc anterior. (Folios 154 y 155).
XII.
Que el 28 de
octubre de 2016, mediante el oficio 270-CDR-2016/1000-DGAJR-2016, el Equipo
Desarrollador remitió al Director General del CDR, el informe con la propuesta
de una nueva metodología tarifaria para el "Ajuste extraordinario de
las tarifas del servicio de electricidad, producto de variaciones en el costo
de los
combustibles utilizados en la
generación térmica para consumo nacional y las importaciones de energía
eléctrica del mercado eléctrico regional (CVC)". (Folios 160 a 211).
XIII.
Que el 31 de
octubre del 2016, mediante el oficio 271-CDR-2016/1526-IE-2016, el CDR y la IE remitieron
a la Junta Directiva el informe 270-CDR-2016/1000-DGAJR- 2016, con la propuesta
para una nueva metodología tarifaria para el "Ajuste extraordinario de
las tarifas del servicio de electricidad, producto de variaciones en el costo
de los combustibles utilizados en la generación térmica para consumo nacional y
las importaciones de energía eléctrica del mercado eléctrico regional
(CVC)". (Folios 65 a 1622).
2Todas
las referencias a folios a partir de este Resultando son del expediente
OT-010-2017.
XIV.
Que el 12 de
enero de 2017, mediante el acuerdo 09-02-2017, del acta de la sesión ordinaria
02-2017, la Junta Directiva resolvió por unanimidad y con carácter de firme:
"(.)
I.
Instruir
al Departamento de Gestión Documental (DEGD) la apertura del expediente para el
trámite respectivo.
II.
Instruir
a la Dirección General de Atención al Usuario (DGAU) que proceda a tramitar la
correspondiente audiencia pública en los periódicos de circulación nacional y
en el diario oficial La Gaceta.
III.
Instruir
a la Dirección General del Centro de Desarrollo de la Regulación (CDR) para
que, una vez realizado el proceso de audiencia pública, proceda a analizar y
dar respuesta a todas las posiciones presentadas y remitir a esta Junta
Directiva la propuesta final de la metodología para su respectiva aprobación
final.
(.)."
XV.
Que el 16 de
enero del 2017, el CDR y la IE mediante el oficio 007-CDR-2017/51- IE-2017, se
remitió a la Secretaría de Junta Directiva, la propuesta de la citada metodología
tarifaria con los ajustes solicitados y aprobados por los miembros de la Junta
Directiva. (Folios 270 a 314).
XVI.
Que el 26 y 27
de enero 2017, se publicó la convocatoria a la Audiencia Pública, en el diario
Oficial La Gaceta N° 19, y en dos periódicos de circulación nacional: La Teja y
La Extra, respectivamente. (Folios 45 a 47).
XVII.
Que el 27 de
febrero de 2017, se realizó la audiencia pública, para conocer la propuesta de
nueva metodología tarifaria, de acuerdo con lo establecido en la Ley 7593,
artículo 36 y en el Decreto 29732-MP, artículos 50 al 56.
XVIII.
Que el 3 de
marzo de 2017, mediante el oficio 0717-DGAU-2017/07072, la Dirección General
de Atención al Usuario, remitió el
informe de oposiciones y coadyuvancia, que consta a folios 260 a 262, el cual
indicó que se recibieron y admitieron 6 posiciones por parte de:
a. Instituto Costarricense de Electricidad
b. Defensoría de los Habitantes
c. Cámara de Empresas de Distribución de
Energía y Telecomunicaciones
(CEDET).
d. Cámara de Industrias de Costa Rica
e. Compañía Nacional de Fuerza y Luz
f. Cooperativa de Electrificación Rural de
San Carlos
XIX.
Que el 16 de
marzo del 2017, mediante el oficio 89-CDR-2017/279-DGAJR-2017, el Equipo
Desarrollador de la nueva metodología tarifaria, remitió al Director General
del CDR la propuesta y análisis de posiciones, una vez realizada la respectiva
audiencia pública.
XX.
Que el 16 de
marzo del 2017, mediante el oficio 90-CDR-2017/331-IE-2017, el CDR y la IE
remitieron a la Junta Directiva el informe final de la propuesta de la nueva
metodología tarifaria y el respectivo análisis de posiciones.
XXI.
Que el 6 de
abril de 2017, mediante el oficio 360-DGAJR-2017, la Dirección General de
Asesoría Jurídica Regulatoria (en adelante DGAJR), remitió a la Junta Directiva
su criterio sobre la propuesta de nueva metodología tarifaria.
XXII.
Que el 28 de
abril de 2017, mediante la sesión 21-2017, la Junta Directiva conoció los
oficios 89- DR-2017/279-DGAJR-2017, 90-CDR-2017/331-IE-2017 y 360- DGAJR-2017 y
dispuso continuar en una próxima sesión
con el análisis de la propuesta.
XXIII.
El 3 de mayo de
2017, mediante el lineamiento 353-RG-2017, el Regulador General emitió los
criterios para el análisis de "Cambio de fondo sustancial en metodologías
y reglamentos postaudiencia pública."
XXIV.
Que el 5 de mayo
de 2017, mediante el oficio 138-CDR-2017/549-IE-2017, el CDR y la IE remitieron
una adenda al informe original, en la que se indica que "el CDR y la
Intendencia de Energía comparten la recomendación de la DGAJR" (se
refiere al oficio 360-DGAJR-2017).
XXV.
Que el 9 de mayo
del 2017, en la sesión 23-2017, la Junta Directiva tomó el acuerdo 06-23-2017,
que indica:
"(.)
Continuar,
en una próxima oportunidad, con el análisis de la propuesta de "Metodología
para el ajuste extraordinario de las tarifas del servicio de electricidad
producto de variaciones en el costo de los combustibles utilizados en la
generación térmica para consumo nacional y las importaciones de energía
eléctrica del mercado eléctrico regional (metodología CVC)", dentro de la
cual se considere los comentarios y observaciones planteadas en esta ocasión
por los señores miembros de la Junta Directiva dentro del proceso de mejora
continua de las metodologías."
XXVI.
El 2 de marzo de
2018, mediante el oficio 101-CDR-2018/250-DGAJR-2018/187- RG-2018, el CDR, la
DGAJR, en conjunto con el Despacho del Regulador General, remitieron a la Junta
Directiva un complemento al informe con la propuesta de la metodología
tarifaria del Costo Variable de Generación (CVG), mediante el cual se
analizaron las observaciones de los miembros de la Junta Directiva en la sesión
23- 2017.
XXVII.
Que el 16 de
marzo de 2018, mediante el oficio 127-CDR-2018, el CDR remitió a la Junta
Directiva la propuesta de nueva metodología tarifaria, elaborada por el Equipo
Desarrollador nombrado con este propósito y denominada "Metodología para
el ajuste extraordinario de las tarifas del servicio de electricidad producto
de variaciones en el costo de los combustibles utilizados en la generación
térmica para consumo nacional y las importaciones netas de energía eléctrica
del mercado eléctrico regional (Metodología Costo Variable de Generación o
CVG)", el cual incluye además, el análisis de las respectivas posiciones
presentadas durante el proceso de audiencia pública.
XXVIII.
Que el 8 de
junio de 2018, mediante el oficio 646-DGAJR-2018, la DGAJR remitió a la Junta
Directiva criterio sobre la propuesta de "Metodología para el ajuste
extraordinario de las tarifas del servicio de electricidad producto de
variaciones en el costo de los combustibles utilizados en la generación térmica
para consumo nacional y las importaciones netas de energía eléctrica del
mercado eléctrico regional (Metodología Costo Variable de Generación o CVG)",
después de las observaciones realizadas por los miembros de la Junta
Directiva en sesión 23-2017.
XXIX.
Que el 25 de
junio de 2018, en la sesión ordinaria N° 40-2018, cuya acta fue ratificada el 9
de julio del mismo año, la Junta Directiva de la Aresep conoció el criterio de
la DGAR sobre la propuesta después de las observaciones realizadas por los
miembros de la Junta Directiva señalado anteriormente y acordó someter al
proceso de audiencia pública la propuesta de "Metodología para el ajuste
extraordinario de las tarifas del servicio de electricidad producto de
variaciones en el costo de los combustibles utilizados en la generación térmica
para consumo nacional y las importaciones netas de energía eléctrica del
mercado eléctrico
regional (Metodología Costo Variable
de Generación o CVG)".
XXX.
Que el 6 de
agosto de 2018, se publicó la convocatoria a la Audiencia Pública, en el diario
Oficial La Gaceta N° 141, y en dos periódicos de circulación nacional: La Teja
y La Extra, respectivamente (folios 45 a 47).
XXXI.
Que el 31 de
agosto de 2018 se realizó la audiencia pública para conocer la propuesta de
modificación de la metodología tarifaria de acuerdo con lo establecido en la
Ley 7593, artículo 36 y en el Decreto 29732-MP, artículos 50 al 56. (folios 487
a 497).
XXXII.
Que el 5 de
setiembre de 2018, mediante el oficio IN-0024-DGAU-2018, la Dirección General
de Atención al Usuario, remitió el informe de oposiciones y coadyuvancias, que
consta a folios 500 a 501, el cual indicó que se recibieron y admitieron 3 posiciones
por parte de:
a. Compañía Nacional de Fuerza y Luz S.A.
(CNFL).
b. Instituto Costarricense de Electricidad
ICE).
c. Cooperativa de Electrificación Rural de
San Carlos R.L. (Coopelesca R.L.).
XXXIII.
Que el 29 de
octubre de 2018, mediante el oficio OF-0511-CDR-2018, el CDR le envió una serie
de consultas a la DGAJR para poder atender las posiciones presentadas en el
proceso de Audiencia Pública: "Consultas sobre varios aspectos de la
oposición de Coopelesca a la propuesta de metodología tarifaria del CVG.
Expediente OT-010-2017." (folios 505 y 506).
XXXIV.
Que el 15 de
enero de 2019, mediante el oficio OF-0056-DGAJR-2019: "Criterio
jurídico sobre varios aspectos de la oposición de la Cooperativa de
Electrificación Rural de San Carlos R.L. (Coopelesca), a la propuesta de
metodología tarifaria del Costo Variable de Generación (CVG)", la
DGAJR atendió el oficio supra citado.
XXXV.
Que los
argumentos presentados en estas posiciones son analizados en un informe aparte
al presente. Los argumentos que han sido aceptados o ameritan cambios en la
metodología tarifaria propuesta son incorporados en la presente propuesta.
CONSIDERANDO:
I. Que en cuanto a las oposiciones y
coadyuvancias presentadas en la respectiva audiencia pública, se tiene como
respuesta el oficio OF-0164-CDR-2019 del 22 de abril de 2019 del Equipo
Desarrollador, debidamente incorporado al expediente OT- 010-2017.
II.
Que con
fundamento en los resultandos y considerandos precedentes y de acuerdo con el
mérito de los autos, lo procedente es: 1. Dictar la "Metodología
para el ajuste extraordinario de las tarifas del servicio de electricidad producto de variaciones en el
costo de los combustibles utilizados en la generación térmica para consumo
nacional y las importaciones netas de energía eléctrica del mercado eléctrico
regional (Metodología Costo Variable de Generación o CVG)", según lo
dispuesto en este informe, incluyendo los respectivos anexos. 2. Derogar
la resolución RJD- 017-2012, publicada en La Gaceta N.º 74 del 17 de abril del
2012, mediante la cual la Junta Directiva de la Aresep aprobó la
"Metodología para el ajuste extraordinario de las tarifas del servicio
de electricidad, producto de variaciones
en el costo de los combustibles (CVC) utilizados en la generación térmica para
el consumo nacional" y su reforma, la resolución RJD-128-2012, publicada
en el Alcance Digital Nº 197 de La Gaceta N° 235 del 05 de diciembre del 2012. 3.
Tener como respuesta a las posiciones presentadas durante el proceso de
audiencia pública, lo señalado en el informe técnico OF-0164-CDR-2019 del 22 de
abril de 2019 que analiza la propuesta de metodología tarifaria preparado por
la respectiva Fuerza de Tarea y agradecer a los
participantes por su valiosa participación en este proceso. 4. Instruir
a la Secretaría de Junta Directiva para que proceda a realizar la respectiva
publicación de esta metodología tarifaria en el Diario Oficial La Gaceta. 5.
Instruir a la Secretaría de Junta Directiva para que proceda a realizar la
notificación de la presente resolución a las artes. 6. Instruir a la Secretaría de
Junta Directiva para que proceda a realizar la notificación a los interesados
del informe donde constan las respuestas
a las posiciones presentadas durante el proceso de audiencia pública.
III.
Que en la sesión
ordinaria 23-2019 celebrada el 14 de mayo de 2019, cuya acta fue ratificada el
21 de mayo del mismo año; la Junta Directiva de la Autoridad Reguladora de los
Servicios Públicos, sobre la base de los oficios OF-0164-CDR- 2019 del 22 de
abril de 2019 y sus respectivos anexos, de la Dirección General del Centro de
Desarrollo de la Regulación; acuerda, dictar la presente resolución.
POR TANTO:
Con
fundamento en las facultades conferidas en la Ley N° 7593 y sus reformas, en la
Ley General de la Administración Pública N° 6227, en el Decreto Ejecutivo N°
29732- MP, que es el Reglamento a la Ley N° 7593, y en el Reglamento Interno de
Organización y Funciones de la Autoridad Reguladora de los Servicios Públicos y
su Órgano Desconcentrado.
LA
JUNTA DIRECTIVA DE LA AUTORIDAD REGULADORA
DE
LOS SERVICIOS PÚBLICOS
RESUELVE:
I. Dictar la "Metodología
para el ajuste extraordinario de las tarifas del servicio de electricidad producto
de variaciones en el costo de los combustibles utilizados en la generación
térmica para consumo nacional y las importaciones netas de energía eléctrica
del Mercado Eléctrico Regional (Metodología Costo Variable de Generación o
CVG)", contenida en el informe OF-064-CDR-2019 del 22 de abril de
2019, tal y como se detalla a continuación:
METODOLOGÍA
PARA EL AJUSTE EXTRAORDINARIO DE LAS TARIFAS DEL
SERVICIO
DE ELECTRICIDAD PRODUCTO DE VARIACIONES EN EL COSTO
DE
LOS COMBUSTIBLES UTILIZADOS EN LA GENERACIÓN TÉRMICA
PARA
CONSUMO NACIONAL Y LAS IMPORTACIONES NETAS DE
ENERGÍA
ELÉCTRICA DEL MERCADO ELÉCTRICO REGIONAL
(METODOLOGÍA
COSTO VARIABLE DE GENERACIÓN O CVG)
1.
JUSTIFICACIÓN GENERAL DEL MODELO TARIFARIO
Las
tarifas eléctricas para los servicios de generación, distribución y alumbrado
público están conformadas por dos grandes componentes: una tarifa base que debe
cubrir todos los costos necesarios para suplir el respectivo servicio público,
excepto los costos relacionados con los combustibles destinados a la generación
térmica y las importaciones netas de energía; es decir, que cubre costos tales
como operación y mantenimiento, depreciación, salarios, materiales, etc.,
incluyendo el correspondiente rédito para el desarrollo de la actividad; y un
segundo componente que cubre los costos relacionadas con los combustibles e
importaciones netas (llamado componente o tarifa de CVG).
El
primer componente (tarifa base) se calcula con base en las metodologías
ordinarias aprobadas mediante las resoluciones RJD-141-2015 (generación) y
RJD-139-2015 (distribución); mientras que el segundo componente (tarifa de CVG)
se debe calcular mediante los procedimientos que establece la presente
metodología tarifaria.
La
existencia de un modelo que actualice periódicamente las tarifas en lo que se
refiere a su componente de combustibles e importaciones netas se justifica dado
que estos componentes de costos tienen una serie de características que los
hacen impredecibles, volátiles e incontrolables por parte de las empresas
eléctricas al ser exógenos a ellas. Adicionalmente, estos componentes pueden
ser de una magnitud significativa dentro de la estructura de costos del
servicio eléctrico, de tal forma que no ajustar las tarifas en forma oportuna
ante cambios en este tipo de costos, puede conllevar a desequilibrios
financieros significativos y, por lo tanto, al incumplimiento del principio de
servicio al costo, al no reflejar las tarifas, los costos reales de suministro
del servicio.
Por
esta razón, esta metodología pretende que la tarifa o componente del CVG se
calcule mediante un mecanismo ágil, como una proporción de los costos sin
combustibles e importaciones netas (tarifa base) que se agrega a la tarifa sin
CVG. De esta forma, el CVG se calcula como un factor de ajuste periódico en las
tarifas base, que se debe calcular anualmente y revisar o ajustar
trimestralmente, antes del vencimiento de cada trimestre natural, para
contemplar los posibles ajustes que se dan entre las estimaciones iniciales y
los costos realmente incurridos. Lo anterior, según las fórmulas de cálculo y
procedimientos que se detallan en las siguientes secciones para cada uno de los
servicios regulados (generación, distribución y alumbrado público).
Esta
metodología tiene además la ventaja de que le proporcionan a la estructura
tarifaria una estacionalidad que refleja los verdaderos costos de suministro de
la electricidad en las diferentes épocas del año, reflejando que los costos del
servicio eléctrico pueden variar a lo largo del año, según una serie de condiciones
técnicas, tales como la hidraulicidad, el precio de los combustibles o el tipo
de cambio del colón respecto al U.S. dólar.
2. OBJETIVOS
Los
principales objetivos de esta metodología tarifaria son:
a. Enviar señales de precios
adecuadas y oportunas, es decir, que el precio de la electricidad refleje lo
más rápido posible las variaciones en el costo de generar electricidad con
combustibles y el costo de las importaciones netas de energía.
b. Garantizar al ICE y a todas las
empresas distribuidoras un flujo de ingresos acorde con su nivel de costos, al
posibilitarles ajustar oportunamente sus tarifas por efecto del CVG.
3. ALCANCE
a. Esta metodología se utiliza
exclusivamente para reconocer el componente por CVG en las tarifas de servicios
de electricidad y sus respectivos ajustes trimestrales. El CVG es un componente
de las tarifas de generación, distribución y alumbrado público que la Autoridad
Reguladora de los Servicios Públicos (Aresep), le fija al Instituto
Costarricense de Electricidad (ICE) y a todas las empresas distribuidoras, que
incluye el costo asociado al consumo de combustible para la operación de las
plantas de generación térmica que posee esa empresa pública y que sea destinado
al abastecimiento nacional, así como las importaciones netas de energía que
realice el ICE proveniente del Mercado Eléctrico Regional (MER).
b. Se aplica a los siguientes
componentes del Sistema Eléctrico Nacional (SEN):
i. El proceso de generación de electricidad del ICE.
En este caso, el CVG tiene lugar, a partir de las compras de combustible
necesario para generación térmica que efectúa el ICE a la empresa estatal
Refinadora Costarricense de Petróleo S.A. (Recope) y el gasto por concepto de
importaciones netas de energía del MER, siempre que estos hayan sido utilizados
para el abastecimiento de la demanda eléctrica nacional.
ii.
Los procesos de
distribución de electricidad del Sistema Eléctrico Nacional (en adelante SEN),
que incluye el proceso de distribución que realiza el mismo ICE y la operación
de las demás empresas distribuidoras que operan en el SEN. En estos casos, el
CVG se transfiere de la generación a la distribución debido a que las empresas
distribuidoras le compran al ICE energía y potencia que ha sido generada, al
menos parcialmente, mediante el uso de combustibles o proveniente de las
importaciones del MER. Este consumo tiene un costo que el ICE traslada a las
empresas distribuidoras, según la tarifa establecida por Aresep.
iii. El servicio de alumbrado público. Este servicio
consume parcialmente energía generada por fuentes térmicas y proveniente de
importaciones que le provee el Sistema de Generación del ICE. En este sentido,
la tarifa del alumbrado público es similar a las tarifas del Sistema de
Distribución.
c. Se aplica
únicamente a los servicios de electricidad para consumo nacional.
d. Se realiza con una frecuencia trimestral.
e. Constituye un procedimiento de
fijación tarifaria independiente de los que reconocen los costos adicionales al CVG y el rédito para el
desarrollo de las empresas que operan en el SEN (tarifas base). En este
sentido, constituye un proceso de fijación extraordinario.
4. CRITERIO GENERAL DE LA
METODOLOGÍA
La
metodología de estimación y fijación del ajuste por Costo Variable por
Combustibles e Importaciones Netas (CVG), está diseñada para que la tarifa
refleje oportunamente los costos de los combustibles destinados a la generación
térmica para consumo nacional y las importaciones netas de energía del MER. Con
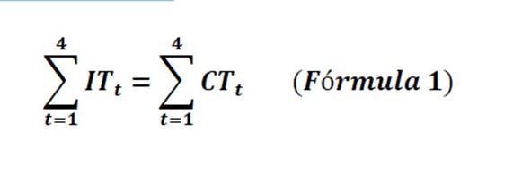
ese fin, se debe cumplir la siguiente relación:

Donde:
ITt = Ingreso
total real o estimado recaudado por concepto de generación o distribución de
energía (colones), incluyendo el alumbrado público, relacionado con el
componente de CVG (combustibles para generación térmica e importaciones netas
de energía), para el trimestre t.
CTt = Costo
total real o estimado incurrido por concepto de generación o distribución de
energía (colones), incluyendo el alumbrado público, relacionado con los
componentes de costos de combustibles destinados a la generación térmica e
importaciones netas de energía, para el trimestre t.
t =
Índice del
trimestre para el que se están realizando los cálculos (1, 2, 3 o 4).
En la
fórmula anterior, ambos lados de la ecuación deben ser reales o estimados según
corresponda. El componente costo total real (CT) para el caso del sistema de
generación, debe entenderse como el costo de los combustibles destinados a la
generación eléctrica más el costo de las importaciones netas de energía del
MER; mientras que cuando se trata de empresas distribuidoras y en el caso del
alumbrado público, el término costo total real (CT), debe entenderse como el
costo originado por las compras de energía al sistema de generación del ICE, en
lo referente a su componente por concepto de gastos en combustibles destinados
a la generación térmica y las importaciones netas de energía en el MER. Es
decir, la porción del gasto incurrido por el ICE, que es absorbida por cada
empresa distribuidora (o suplidora del servicio de alumbrado público), de acuerdo
con su estructura de compras de energía al ICE.
En las
siguientes tres secciones se desarrolla el mecanismo por medio del cual se
ajustarán las tarifas de cada uno de los sectores involucrados (generación,
distribución y alumbrado público). Posteriormente, en las dos últimas secciones
se incluyen las disposiciones que se deben de cumplir para aplicar esta
metodología y la información que se requiere para su aplicación.
Toda
la información requerida para la aplicación de esta metodología tarifaria se
rige por lo establecido en las secciones 8 y 9.
5.
INCLUSIÓN DEL CVG EN LAS TARIFAS DE GENERACIÓN DEL ICE
5.1 Criterios generales para el
diseño del factor de ajuste por CVG
El
diseño del mecanismo de ajuste que reconoce los costos asociados al CVG del
Servicio de Generación de Electricidad, toma en cuenta los siguientes criterios
generales:
a. Se fijan o actualizan tarifas
trimestrales de acuerdo con la fórmula 2.
b. El monto de cada tarifa
trimestral se fija en varias etapas, con la siguiente secuencia:
i. Inicialmente, se calcula un cargo por CVG
para cada trimestre del año siguiente (CGt, ver fórmula 2), el cual consiste en
una estimación efectuada por la Aresep entre noviembre y diciembre del año
anterior.
ii. Cada trimestre se procederá a realizar una
comparación entre el gasto real incurrido por CVG y el ingreso facturado por
ese concepto. Dadas las fechas en que se requiere la información para realizar
los estudios correspondientes (18 de febrero, 18 de mayo, 18 de agosto y 18 de
noviembre) en cada trimestre se revisará la diferencia entre el ingreso
facturado y el costo real por CVG correspondiente a los dos últimos meses del
trimestre anterior y el primer mes del trimestre vigente. Esta diferencia es la
base del ajuste que se adiciona o se rebaja a la tarifa del trimestre
siguiente.
iii. Cada trimestre se procederá a revisar las
estimaciones de generación térmica e importaciones netas de acuerdo con la
información disponible.
c. Todas las tarifas que fije la
Aresep para ajustar el CVG en los servicios de generación de electricidad, serán tramitadas de oficio,
mediante el mecanismo de ajuste extraordinario
contemplado en el artículo 30 de la Ley No. 7593.
5.2
Definición del modelo de fijación tarifaria
El modelo
de ajuste que se describe en esta sección se aplica al ICE como empresa
generadora de energía con fuente térmica, importadora y exportadora de energía
proveniente del MER y que vende energía eléctrica en bloque (al por mayor) a
todas las empresas distribuidoras. El ajuste por CVG pretende reembolsar al ICE
el costo incurrido en estos rubros, sin margen de utilidad o rédito alguno, o
devolverle a los usuarios eventuales excedentes cobrados en las tarifas. Así,
el ICE le venderá potencia y energía a las empresas distribuidoras mediante un
esquema, en el que el CVG se factura separadamente y sin margen, en tanto,
estas últimas lo facturarán a sus clientes finales de la misma forma, esto es,
separadamente y al costo de transferencia.
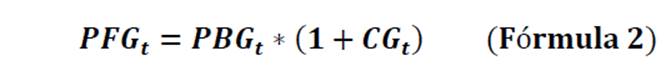
El
costo del CVG en los servicios de generación de electricidad, debe adicionarse
a la estructura de costos sin combustibles y sin importaciones netas (tarifas
sin CVG); con ese fin, se estima un factor de ajuste que se incorporará en cada
una de las tarifas sin CVG, para obtener la tarifa total, según la siguiente
fórmula:

Donde:
PFGt = Precio final del sistema de
generación incluyendo el componente del CVG aprobado, para el trimestre t
(unidades monetarias).
PBGt = Precio base del sistema de generación
anterior al ajuste del CVG aprobado, para el trimestre t, sin considerar el
factor de ajuste por combustibles e importaciones netas (unidades monetarias),
y que proviene de una fijación tarifaria ordinaria, según lo establecido en la
respectiva metodología tarifaria (resolución RJD-141-2015).
CGt = Cargo o proporción del ajuste por
CVG para el sistema de generación, con la actualización de costos (CCIt o
CCIAt), y el ingreso estimado, sin combustibles y sin importaciones netas
(IEGSt), en el trimestre t (ver fórmula 3 y fórmula 4).
t = Índice del trimestre para el que se están
realizando los cálculos (1, 2, 3 o 4).
El
cargo o proporción del ajuste por CVG para cada trimestre (CGT)
correspondiente a la fijación anual que se realiza entre noviembre y diciembre
de cada año, para aplicarse durante el año siguiente, se calcula de la
siguiente manera:

Para
el caso de las actualizaciones trimestrales que se efectuarán para los
trimestres 2, 3 y 4, tómese CGT"
como:

Donde:

El
monto del costo variable del combustible más las importaciones netas (CCI) se
calculará de acuerdo con las siguientes fórmulas:

Donde:
CCIt= Costo
estimado por concepto de combustible e importaciones netas, en colones,
actualizado con los datos estimados a partir de la información real más
recientes a la fecha de corte establecida, a reconocer en el trimestre t.
CCIAt= Costo estimado por concepto de
combustible e importaciones netas, en colones, actualizado con los datos
estimados a partir de la información real más recientes a la fecha de corte
establecida e incorporando los ajustes del trimestre anterior, a reconocer en
el trimestre t.
CCt= Costo estimado por concepto de combustible e importaciones netas, en
colones, actualizado con los datos estimados a partir de la información real
más reciente a la respectiva fecha de corte e incorporado los ajustes del
trimestre anterior, a reconocer en el trimestre t (ver fórmula).
IEGSt= Ingreso estimado
del sistema de generación sin considerar el efecto de los combustibles e
importaciones netas, en colones, para el trimestre t.
Este se obtiene del estudio del mercado
realizado por la Aresep en aplicación de lo establecido en la metodología
vigente en cuanto a la estimación de ingresos (resolución RJD-141-2015) (monto
en colones).
t= Índice del trimestre para el que se están
realizando los cálculos (1,2,3 o 4)
El costo del combustible (CC) que se
destinará a la generación térmica se calculará, de acuerdo con las mejores
prácticas de estimación, según lo que dicta la ciencia y la técnica,
considerando factores tales como: la evolución de la demanda por electricidad,
el balance energético del Sistema Electrico Nacional (SEN), las condiciones
hidrológicas, la cantidad de energía que se prevé generar por medio de las
plantas térmicas, el manejo de los inventarios de combustibles, la eficiencia
técnica y rendimientos de estas plantas, el costo de los combustibles y el tipo
de cambio.
El monto de la importación (M) y las exportaciones (X) de energía se
estimarán de acuerdo con la información disponible para el MER, las previsiones
sobre transacciones en el mercado (cantidades y precios), la evolución de la
demanda eléctrica nacional y el balance energético del SEN, las restricciones
técnicas en la transmisión regional y nacional, el tipo de cambio y un análisis
del costo-beneficio de las transacciones y cualesquiera otras variables que se
considere pertinente. Al respecto, se aplicarán los criterios de estimación
definidos en las secciones 2.2 y 3.1.2 de la resolución RJD-141-2015.
5.3 Estimación inicial del CVG para cada trimestre
(fijación anual)
Durante los meses de noviembre y diciembre de cada
año se tramitará y aprobará el ajuste por CVG a reconocer en los trimestres 1, 2,
3 y 4 del año siguiente, según las estimaciones realizadas por la Aresep,
basada en la información de mercado disponible y la información de costos del
estudio tarifario ordinario que esté vigente en aplicación de la metodología
tarifaria establecida en la resolución RJD-141-2015.
Esa estimación se realiza de acuerdo con las
fórmulas 2, 3, 5 y 6, utilizando la información más reciente que esté
disponible. Se aplica para cada precio del pliego tarifario vigente, de tal
forma que se obtengan precios finales ajustados que contemplen todos los costos
(PFG); procediéndose a publicar:
a) La estructura de costos sin combustibles e importaciones netas (tarifas
sin CVG);
b) Los cargos por CVG de todos los trimestres del año siguiente; y
c) Los precios que estarían vigentes (estructura de costos sin
combustibles e importaciones netas más el efecto del cargo por CVG) durante el
primer trimestre del año siguiente.
5.4 Actualización trimestral de la estimación
inicial del CVG
Trimestralmente se revisarán las estimaciones de
ajuste por concepto de combustibles e importaciones netas realizadas por la
Aresep a finales del año anterior. Para realizar esta actualización se
procederá como sigue:
a) A más tardar el día 18 del mes
intermedio de cada trimestre (febrero, mayo y agosto), inicia el proceso de
revisión de la información que se ha recibido de parte del ICE y de las demás
empresas eléctricas, y que se empleará para actualizar el valor de los
componentes para el cálculo del CG y el pliego tarifario correspondiente, antes
de que entren a regir los componentes calculados en el ajuste anual en las
estructuras tarifarias sin CVG.
b) Se analiza la información
correspondiente al consumo real de combustibles, gastos por importaciones e
ingresos por exportaciones y los ingresos facturados por estos conceptos (CVG),
correspondientes a los dos últimos meses del trimestre anterior y el primer mes
del trimestre vigente.
c) Se realizan nuevas estimaciones por
concepto de demanda, generación y costos de combustibles destinados a la generación
térmica, importaciones de energía e ingresos por exportaciones de energía, para
el siguiente trimestre (t).
d) Se calcula la diferencia entre el costo
incurrido en el trimestre anterior por concepto de combustibles e importaciones
netas, -incluyendo la liquidación correspondiente- y el ingreso facturado por
ese concepto (determinadas ambas variables con tres meses de información real,
los dos últimos meses del trimestre anterior y el primer mes del trimestre
vigente). Esa diferencia representa el monto reconocido de más o de menos, vía
tarifa, por concepto de combustibles e importaciones netas.
e) La diferencia, positiva o negativa,
descrita en el punto anterior, se resta o suma, al monto estimado para el
siguiente trimestre por concepto de combustibles (CCt) e importaciones
netas (Mt - Xt), para obtener el monto actualizado del ajuste requerido,
denominado CCIAt.
f) Este monto total neto se divide entre
el ingreso estimado del trimestre siguiente, excluyendo combustibles e
importaciones netas, a fin de obtener un nuevo cargo de ajuste en las tarifas (CGt).
Entonces, CGt representa el ajuste proporcional en la estructura sin
CVG de generación del siguiente trimestre, excluyendo combustibles e
importaciones netas, necesario para completar la recuperación del costo real de
combustible e importaciones netas de energía incurridos en el trimestre
anterior.
g) Los ingresos y precios estimados para
cada trimestre se actualizan multiplicándolos por el factor definido como
"1 + CGt", a fin de lograr la equiparación de ingresos y
gastos por concepto de combustibles e importaciones netas; de tal forma que se
obtienen los precios finales que estarían vigentes durante el siguiente
trimestre, multiplicando cada uno de los precios por este factor de ajuste (1+
CGt)
El
monto de CCIA t (fórmula 6) será el que se utilice para calcular y ajustar el nuevo
componente CG t para cada trimestre
inmediatamente antes de que este inicie (fórmula 4).
4) A
su vez, todos los precios del pliego tarifario serán ajustados según la fórmula
2, procediéndose a publicar el cargo respectivo (CGt) y el pliego tarifario
resultante para el trimestre siguiente.
6.
INCLUSIÓN DEL CVG EN LAS TARIFAS DE DISTRIBUCIÓN
En
esta sección se detalla el proceso mediante el cual las empresas distribuidoras
de electricidad ajustan sus tarifas para compensar el costo por CVG que
conlleva el pago del cargo CGt en la compra de energía y potencia que hacen al
Sistema de Generación del ICE, es decir el componente relacionado con
combustibles e importaciones netas, según se detalló en el capítulo precedente.
Dado
que el reconocimiento del cargo CGt por efecto CVG afecta las tarifas de
generación, ocasiona una variación en el monto que las empresas distribuidoras pagan
por compra de energía y potencia al ICE, por tanto, se requiere una variación
en las tarifas de las empresas distribuidoras, a fin de transmitir el efecto de
la variación por CVG de las tarifas del sistema de generación al sistema de
distribución.
En
resumen, las compras de energía y potencia que realizan las empresas
distribuidoras al sistema de generación del ICE tienen un componente de CVG
(costo de combustibles e importaciones netas) que estas empresas distribuidoras
deben cobrar, a su vez, a sus clientes a través de las tarifas aprobadas por la
Aresep, para garantizar el equilibrio financiero de estas empresas
distribuidoras y que los precios reflejen adecuada y oportunamente los costos
reales de suministro.
El
proceso técnico para reconocer a las empresas distribuidoras lo pagado por CVG
es el siguiente:
6.1
Criterios generales para el diseño del factor de ajuste por CVG
El
diseño del mecanismo de ajuste que reconoce los costos asociados al CVG del
servicio de distribución de cada empresa toma en cuenta los siguientes
criterios generales:
a. Se fijan o actualizan tarifas
trimestrales de acuerdo con la fórmula 7.
b. El monto de cada tarifa
trimestral se fija en varias etapas, con la siguiente secuencia:
i. Inicialmente entre noviembre y
diciembre de cada año, se calcula un cargo por CVG para cada trimestre del año
siguiente (CDt, ver formula 7), el cual consiste en una estimación efectuada
por la Aresep con la información real disponible hasta el momento (ver fórmula
8).
ii.
El 18 de
febrero, 18 de mayo, 18 de agosto y 18 de noviembre de cada año se procederá a
realizar una comparación entre el gasto real incurrido por CVG y el ingreso
real facturado por ese concepto. En cada trimestre se revisará la diferencia
entre el ingreso facturado y el costo real por CVG correspondiente a los dos
últimos meses del trimestre anterior y el primer mes del trimestre vigente, así
como el respectivo neteo de ajustes de periodos anteriores. Esta diferencia es
la base del ajuste que se adiciona o se rebaja a la tarifa del trimestre
siguiente (ver fórmula 9).
iii.
Cada trimestre
se procederá a revisar las estimaciones de compras de energía al Sistema de
Generación del ICE y realizar los ajustes correspondientes.
c. Todas las tarifas que fije la
Aresep para ajustar el CVG en los servicios de distribución de electricidad,
serán tramitadas de oficio, mediante el mecanismo de ajuste extraordinario
contemplado en el artículo 30 de la Ley No. 7593.
6.2
Definición del modelo de fijación tarifaria
El
modelo de ajuste que se describe en esta sección se aplica al pago por CVG que
deben hacer las empresas distribuidoras al Sistema de Generación del ICE, por
la energía que este genera con fuente térmica e importaciones netas de energía
proveniente del MER.
El
ajuste por CVG pretende reembolsar a las empresas distribuidoras el costo
incurrido en ese rubro, sin margen alguno, o devolverles a los usuarios los
excedentes cobrados en las tarifas.
Las
empresas distribuidoras venderán a sus clientes potencia y energía mediante un
esquema en el que el CVG se factura al costo y de forma tal que permita
identificar la magnitud de este componente.
El
costo del CVG en los servicios de distribución de electricidad, debe
adicionarse a la estructura sin combustibles y sin importaciones netas; con ese
fin, se estima un factor de ajuste que se incorpora en cada una de las tarifas
sin CVG para obtener la tarifa total, según la siguiente fórmula:

Donde:
PFDt = Precio final del sistema de distribución de cada
empresa incluyendo el componente del CVG aprobado, para el trimestre t
(unidades monetarias).
PBDt = Precio base del sistema de distribución de
cada empresa anterior al ajuste del CVG aprobado, para el trimestre t, sin
considerar el factor de ajuste por combustibles e importaciones netas (unidades
monetarias), y que proviene de una fijación tarifaria ordinaria o
extraordinaria (Resoluciones RJD-139-2015, RRG-3237-2003 y RRG- 215-2010).
CDt = Cargo o proporción del ajuste por CVG para
el sistema de distribución de cada empresa en el trimestre t, con la
actualización de costos (CICt o CICAt), y el ingreso estimado, sin el
componente CVC (IEDSt), en el trimestre t (ver fórmula 8 y fórmula 9).
t =
Índice del
trimestre para el que se están realizando los cálculos (1, 2, 3 o 4).
El
factor de ajuste por CVG para cada trimestre (CD t), para el caso de la fijación
anual, se calcula de la siguiente manera, para cada una de las 8 empresas
distribuidoras:

Para el caso de las actualizaciones
o revisiones trimestrales que se efectuarán para los trimestres 2, 3 y 4,
tómese "CDt "como:

Donde:

El
monto del costo incremental por concepto de compras de energía al sistema
de eneración del ICE inicial (CIC) o
ajustado (CICAI) se calculará de acuerdo con las siguientes fórmulas:

Donde:

6.3
Estimación inicial del CVG para cada empresa distribuidora para cada trimestre
(fijación anual)
Durante
los meses de noviembre y diciembre de cada año, se tramitará y aprobará el
ajuste tarifario por CVG a reconocer al sistema de distribución de cada
empresa, para los trimestres 1, 2, 3 y 4 del año siguiente, según las
estimaciones realizadas por la Autoridad Reguladora de los Servicios Públicos,
basada en la información del mercado disponible y la información de costos del
estudio tarifario ordinario, que esté vigente en aplicación de la metodología
tarifaria establecida en la resolución RJD-139-2015.
Esa
estimación se realiza de acuerdo con las fórmulas 7, 8, 10 y 11; utilizando la
información más reciente al momento del corte respectivo. Se aplica para cada
precio del pliego tarifario vigente, de tal forma que se obtengan precios
finales ajustados que contemplen todos los costos (PFD); procediéndose a
publicar los precios que estarían vigentes durante el trimestre siguiente y los
cargos de todos los trimestres del año siguiente.
6.4 Actualización trimestral de
la estimación del CVG para cada empresa distribuidora
Trimestralmente
se revisarán las estimaciones de los ajustes tarifarios por concepto de compras
del sistema de distribución de cada empresa distribuidora al sistema de
generación del ICE, por la energía que este genera con fuentes térmicas e
importaciones netas-, que fueron realizadas por la Aresep a finales del año
anterior.
Para realizar
esta actualización, se procederá como sigue:
a) A más tardar el día 18 del mes
intermedio de cada trimestre, inicia el proceso de revisión de la información
que se ha recibido de parte de las empresas distribuidoras eléctricas, que se
empleará para actualizar el valor de los componentes para el cálculo del CD y
el pliego tarifario de cada empresa, antes de que entren a regir los
componentes y tarifas que se establecieron inicialmente.
b) Se analiza la información
correspondiente al costo real por concepto de compras de energía al sistema de
generación del ICE en lo referente al componente relacionado con compras de
combustibles para generación térmica e importaciones netas de energía del MER
(efecto del CVG) y los ingresos reales facturados por estos conceptos (CVG),
correspondientes a los dos últimos meses del trimestre anterior y el primer mes
del trimestre vigente, así como los respectivos ajustes de periodos anteriores.
c) Se realizan nuevas estimaciones
por concepto del costo incremental de las compras de energía al sistema de
generación del ICE por efecto de los costos relacionados con los combustibles
destinados a la generación térmica e importaciones netas de energía, para el
siguiente trimestre (t).
d) Se calcula la diferencia entre el
costo incurrido en el trimestre t por concepto de compras de energía al sistema
de generación del ICE, por efecto del costo de combustibles e importaciones
netas y el ingreso facturado por ese concepto, así como los ajustes a reconocer
de periodos anteriores (dichas variables determinadas con tres meses de
información real, los dos últimos meses del trimestre anterior y el primer mes
del trimestre vigente). Esa diferencia representa el monto reconocido de más o
de menos, vía tarifa, por concepto de combustibles e importaciones netas.
e) La diferencia, positiva o
negativa, descrita en el punto anterior, se resta o suma, al monto estimado
para el siguiente trimestre por concepto del costo incremental de las compras
de energía al sistema de generación del ICE, por efecto de los costos
relacionados con los combustibles destinados a la generación térmica e
importaciones netas de energía (CIC), para obtener el monto actualizado del
ajuste requerido, denominado CICAt.
f) Este monto total neto se divide
entre el ingreso estimado del trimestre siguiente, excluyendo el efecto del
CVG, a fin de obtener un nuevo cargo de ajuste en las tarifas (CDt). Entonces,
CDt representa el ajuste proporcional en la estructura sin CVG de distribución
del siguiente trimestre, excluyendo combustibles e importaciones netas,
necesario para completar la recuperación del costo real de combustible e
importaciones netas de energía incurridos en el trimestre anterior.
g) Los ingresos y precios estimados
para cada trimestre se actualizan multiplicándolos por el factor definido como
"1 + CDt", a fin de lograr la equiparación de ingresos y gastos por
concepto de combustibles e importaciones netas; de tal forma que se obtienen
los precios finales que estarían vigentes durante el siguiente trimestre,
multiplicando cada uno de los precios por este factor de ajuste (1+ CDt).
El
monto de CICAt (fórmula 11) será el que se utilice para calcular y ajustar el nuevo
componente CDt para cada trimestre inmediatamente antes de que este inicie (fórmula 9).
A su vez, todos los precios del pliego tarifario serán ajustados según la
fórmula 7, procediéndose a publicar el cargo respectivo (CDt) y el pliego
tarifario resultante de cada empresa distribuidora para el trimestre siguiente.
7.
INCLUSIÓN DEL CVG EN LAS TARIFAS DE ALUMBRADO PÚBLICO
El
proceso técnico para determinar el monto a reconocer por concepto de CVG al
sistema de Alumbrado Público de las empresas distribuidoras es análogo al
descrito en la sección 6 anterior, para reconocer el efecto de la generación térmica
e importaciones del ICE en las tarifas del Sistema de Distribución de cada
empresa. En este proceso se estima el efecto del CVG que se transfiere al
Sistema de Alumbrado Público de cada empresa distribuidora; de tal manera que
las tarifas del alumbrado público se ajusten simultáneamente con las tarifas
del Sistema de Distribución y con el mismo procedimiento.
En
noviembre de cada año se iniciará el proceso para determinar el CVG para los
cuatro trimestres del año siguiente en las tarifas de alumbrado público. Este
proceso deberá estar concluido antes de finalizar el año, de tal forma, que el
respectivo cargo empiece a regir el 1º de enero del año siguiente.
Como
consecuencia de los ajustes tarifarios (CG1, CG2, CG3, CG4) que se aprueben en
la tarifa de generación, las tarifas del Sistema de Alumbrado Público de cada
una de las empresas eléctricas se deben ajustar de oficio por la Aresep, según
los criterios definidos en la sección anterior, referida a los sistemas de
distribución.
Para
estos efectos, la tarifa del servicio de alumbrado público se trataría
metodológicamente como si fuera una más del sistema de distribución de cada
empresa; pero utilizando los valores propios del Sistema de Alumbrado Público
para estimar las variables propias de este sistema (costos e ingresos), de tal
forma que se obtengan los respectivos cargos de ajuste para el alumbrado
público, denominados CPt, y definidos como el cargo o proporción del ajuste por
CVG para el sistema de alumbrado público de cada empresa en el trimestre t.
Para
efectos del cálculo del ajuste por CVG en la tarifa del alumbrado público se
harán las modificaciones que se requieran en los cálculos del ajuste de las
tarifas de distribución, para evitar que se dupliquen los costos considerados.
8.
DISPOSICIONES PARA LA APLICACIÓN DE LA METODOLOGÍA
En
esta sección se establecen varias disposiciones que deben ser cumplidas para
aplicar la metodología establecida en este informe:
a) Todas las tarifas que fije la
Aresep para reconocer el CVG en los servicios de generación, distribución de
electricidad y alumbrado público serán tramitadas de oficio, mediante el
mecanismo de ajuste extraordinario contemplado en el artículo 30 de la Ley No.
7593.
b) En noviembre se estima el costo
por CVG para cada uno de los cuatro trimestres del año siguiente, con base en
las estimaciones de consumo de combustible para generación térmica e
importaciones netas calculadas por Aresep para el respectivo año. El costo por
CVG estimado para el primer trimestre se empezará a cobrar a partir del 1º de
enero. El del segundo trimestre el 1º de abril. El del tercer trimestre, el 1º
de julio. El del cuarto trimestre, el 1º de octubre. Si por alguna razón los
correspondientes ajustes tarifarios no empiezan a regir en las fechas
indicadas, las diferencias que se generen deben ser consideradas como un ajuste
en el trimestre siguiente.
c) En el mes intermedio de cada
trimestre del año, la Aresep, analizará la información disponible sobre costos
e ingresos facturados asociados con el CVG, y las actualizaciones de las
estimaciones efectuadas tanto por el ICE como por sus propios estudios
técnicos, de tal forma que, el ajuste que se autorice empiece a regir el primer
día de cada trimestre. Además, la Aresep convocará a las respectivas consultas
públicas.
d) Para calcular el ingreso total
real (IT), el costo total real (CT) y los ajustes de periodos anteriores
utilizados para determinar el ajuste trimestral, se deberá utilizar información
real. Para poder contar con información actualizada, el ICE y las otras
empresas del subsector de electricidad deberán remitir la información necesaria
para el ajuste trimestral, a más tardar los días 18 de febrero, 18 de mayo, 18
de agosto y 18 de noviembre, de tal forma que la Aresep cuente con los insumos
necesarios al momento de revisar y aprobar los respectivos cargos. Una vez que
se cuente con la información real con respecto de las variables estimadas, la
diferencia acumulada será considerada en la siguiente fijación trimestral, para
poder cumplir con lo que se define en la fórmula 1 de este informe.
e) Los ajustes aprobados se
aplicarán proporcionalmente sobre todos los precios de energía y potencia
vigentes. Esto implica que se multiplicarán todos los precios correspondientes
a los distintos componentes de la estructura tarifaria por los factores de
ajuste estimados, con base en lo que se establece en esta metodología.
f) Sin embargo, la Aresep podrá
establecer una distribución del CVG diferente entre las distintas tarifas y sus
bloques de consumo u horarios, cuando disponga de los elementos técnicos que
respalden esta decisión. Lo anterior, a fin de procurar que la estructura
tarifaria emita señales adecuadas de precio y evitar en lo posible, que el CVG
contribuya a mantener o aumentar distorsiones tarifarias existentes.
g) Los ajustes aprobados por la
Aresep, regirán durante el trimestre para el cual hayan sido aprobados. Una vez
que pase este período, el cargo dejará de aplicarse, tanto en las tarifas de
generación como en las de distribución y alumbrado público, y comenzará a regir
el siguiente cargo autorizado.
h) En el caso de no aplicarse, por
cualquier motivo, esta metodología de ajuste extraordinario, se reversarán
todas las tarifas afectadas, tanto en las etapas de generación, como en las de
distribución y alumbrado público, de tal forma que su nivel no refleje los
costos asociados con combustibles e importaciones netas, los que se incluirán
por medio de una revisión ordinaria integral de las tarifas.
i) Para efectos de esta metodología,
la recaudación real se entenderá igual a la facturación (después de eventuales
ajustes formalmente comunicados y fundamentados ante la Aresep y aceptados o
modificados por esta).
j) Para establecer los factores de
ajuste por CVG, la Aresep empleará la mejor información disponible, incluyendo
las estimaciones efectuadas tanto por el ICE y las otras empresas
distribuidoras (en estudios ordinarios), como en las actualizaciones realizadas
por los propios estudios técnicos de Aresep.
k) Los costos de combustibles del
ICE incluyen lo que se paga a terceros por este concepto, cuando la erogación
se destina a la generación térmica, de acuerdo con contratos debidamente
aprobados por las autoridades respectivas, según su naturaleza, y aportados a
la Aresep.
l) Los gastos por combustibles e importaciones
netas de energía que la Aresep considere válidos para realizar sus estudios,
estarán delimitados por el principio de eficiencia, de tal forma que sólo se
considerarán bajo condiciones óptimas de operación, de acuerdo con los factores
de eficiencia de cada una de las plantas térmicas del Sistema Eléctrico
Nacional (SEN) y las restricciones técnicas de operación del sistema, de
conformidad con la normativa vigente, así como el aprovechamiento óptimo de los
recursos existentes. Para estos efectos, se analizará la naturaleza de cada
erogación de acuerdo con lo dispuesto en la Ley 7593, especialmente en lo
referente al cumplimiento del servicio al costo (artículo 3.b) y los costos que
no se consideran para efectos tarifarios (artículo 32).
m) Las empresas del sector de
electricidad ajustarán sus sistemas contables para registrar de manera fiel,
diferenciada, oportuna y documentada los ingresos y gastos por concepto del
CVG, dedicados exclusivamente a generación térmica e importaciones netas, de
acuerdo con lo establecido en esta metodología. Esto implica que el área de
generación del ICE debe llevar un registro separado de los gastos por concepto
de CVG destinados a generación térmica e importaciones netas, con el detalle
que indique la Aresep, y un registro de los ingresos que permita diferenciar lo
facturado y recaudado por concepto del CVG. Las empresas distribuidoras deberán
registrar separadamente los gastos por concepto de compra de energía y potencia
al sistema de generación del ICE, de tal forma que sean claramente
identificables las partidas relacionadas con el CVG. La Aresep podrá, mediante
resolución, establecer los requisitos y detalles de los registros señalados en
este párrafo.
n) La forma de facturación a los
usuarios del sistema de generación y distribución debe permitirles identificar
el rubro correspondiente a CVG y en el caso de los usuarios finales, se debe
mostrar en las facturas al menos el monto correspondiente al factor de ajuste
en el precio por concepto de CVG.
o) El Instituto Costarricense de
Electricidad (ICE) y las empresas distribuidoras de electricidad deben
presentar la información a la Autoridad Reguladora que permita aplicar las
fórmulas descritas en este informe, según los requerimientos
de información que se establecen en
esta metodología y los que emita la
Intendencia de Energía.
p) Los precios resultantes de la
aplicación de esta metodología deben expresarse con dos decimales cuando se
trate de moneda nacional (céntimos de colón) y cuatro decimales cuando los
precios estén expresados en dólares.
q) Para la conversión de colones se
utilizará el tipo de cambio de compra (CRC/USD) para el Sector Público no
Bancario establecido por el Banco Central de Costa Rica (BCCR), según las
estimaciones realizadas por la Intendencia de Energía, debidamente
justificadas, lo anterior en concordancia con las resoluciones RJD-139-2015, "Metodología
tarifaria ordinaria- para el servicio de distribución de energía eléctrica
brindado por operadores públicos y cooperativas de electrificación rural" y
RJD-141-2015, "Metodología tarifaria ordinaria- para el servicio de
generación de energía eléctrica brindado por operadores públicos y cooperativas
de electrificación rural".
9.
INFORMACIÓN REQUERIDA
A continuación,
se detalla la información que la Aresep requerirá para poder aplicar el modelo:
a) Como parte del proceso de
fijación tarifaria, para los períodos t1, t2, t3 y t4, el ICE debe remitir a la
Aresep, a más tardar el 18 de noviembre de cada año, al menos, la información
que se detalla, para los meses de enero a diciembre del año siguiente.
Posteriormente, enviará la información trimestral del sistema de generación
necesaria para la aplicación de la metodología en los períodos t2, t3 y t4.
i. Demanda mensual de energía y
potencia en el período considerado, con la metodología utilizada para efectuar
la proyección, incluyendo las ventas en unidades físicas y monetarias del
período considerado, para cada uno de los clientes del sistema de generación.
ii.
Un balance de
energía por fuente, planta y empresa que muestre la metodología establecida
para estimar cada uno de los aportes mensuales con el desglose solicitado y
cómo se obtuvieron los requerimientos térmicos para el sistema, incluyendo un
análisis y detalle de las restricciones técnicas y operativas del Sistema de
Generación y Transmisión que afecten este balance.
iii.
La programación
del mantenimiento de las plantas.
iv.
Información
relacionada con Alumbrado Público.
v. Detalle de los ingresos facturados
por concepto de CVG.
vi.
Detalle de los
gastos mensuales reales por concepto de combustibles destinados a generación,
con corte al mes inmediato anterior (para cada planta, tipo de combustible y
con referencia a las unidades producidas por ella).
vii.
Estimación
mensual del gasto por combustibles, desglosada por planta, incluyendo los
criterios utilizados para estimar el precio de los combustibles, el tipo de
cambio y el rendimiento de las plantas térmicas.
viii.
Políticas de
manejo de los inventarios de los combustibles destinados a la generación
térmica.
ix.
Presentar el
registro del gasto por combustibles y KWh generados para exportación, por
separado de los costos de CVG utilizado para consumo nacional, con el detalle
que permita analizar las transacciones realizadas.
x. Detalle de las importaciones y
exportaciones reales de energía desglosadas por país y proveedor, con el
detalle de cantidades y precios. Esta información podrá remitirse a más tardar
el día 25 de noviembre, a fin de incluir la información más actualizada posible
de importaciones y exportaciones.
xi.
Detalle y
justificación de las proyecciones de importaciones y exportaciones de energía
en el MER en cada periodo, con el detalle correspondiente.
xii.
Toda la
información necesaria para el cálculo de los diferentes componentes de las
fórmulas de la metodología de CVG descrita en la sección 5 de este informe,
especialmente los componentes mensuales de ingresos y gastos reales asociados
al CVG utilizados en generación térmica, importaciones y exportaciones, con el
detalle que se señala en cada caso.
xiii.
Estrategia de
aprovechamiento de oportunidad de importación y exportación de energía en el
MER.
b) Para determinar los ajustes
trimestrales se requiere la misma información detallada en el punto anterior,
para el periodo de referencia. Esta debe presentarse en las siguientes fechas:
la del primer trimestre debe entregarse a más tardar el 18 de noviembre, la del
segundo trimestre debe remitirse a más tardar el 18 de febrero de cada año, la
del tercer trimestre a más tardar el 18 de mayo y la del cuarto trimestre a más
tardar el 18 de agosto. La información relacionada con las transacciones
desarrolladas en el MER podrá remitirse a más tardar el día 25 de los meses
antes indicados, a fin de incluir la información más actualizada posible de
importaciones y exportaciones.
c) Para efectos del control de este
procedimiento extraordinario, el ICE deberá suministrar en formato electrónico
(hoja "Excel") a la Aresep, la siguiente información mensual real de
su Sistema de Generación, a más tardar 18 días naturales después del último día
del mes respectivo:
i.
Ventas mensuales de energía, en unidades físicas y monetarias, a empresas
distribuidoras y usuarios finales.
ii.
Cantidad de KWh mensuales generados por cada planta térmica.
iii.
Cantidad mensual de litros por tipo de combustible y planta, utilizados en la
generación térmica destinada a consumo nacional.
iv.
Costo mensual por tipo y planta, de los combustibles utilizados en la
generación térmica destinada a consumo nacional.
v.
eficiencia (KWh/litros) mensual de cada planta térmica.
vi.
Facturas por concepto de pagos mensuales por alquiler de plantas de generación
térmica.
vii.
Cantidad mensual de KWh generados por cada planta térmica y que fueron destinados
a exportación.
viii.
Detalle mensual de la cantidad y costo de los combustibles utilizados para la
generación térmica de exportación, por planta y tipo de combustible.
ix.
Una base de datos con el detalle de los movimientos de los combustibles en inventarios,
incluyendo unidades físicas y monetarias, por planta, tipo de combustible y
tanques (entradas, existencias y salidas de combustibles).
x.
Importaciones de energía desglosadas por país y proveedor, con el detalle de mercado
de referencia, fecha o periodo de importación, cantidades y precios pagados
(incluyendo tipo de cambio).
d) Informe sobre los porcentajes de pérdidas
de energía en sus Sistemas de Generación, Transmisión y Distribución con fecha
de entrega al 28 de febrero de cada año y su estimación justificada para el
siguiente periodo.
e) La información y los datos aportados como
base para las estimaciones deben coincidir con los informes mensuales
presentados a la Aresep, según los requerimientos de información vigentes o incluir una justificación
documentada de las diferencias. Cualquier cambio en la información aportada en
meses precedentes deberá ser reenviada a su versión actualizada, con la debida
justificación.
f) Los registro contables de las cuentas de ingresos
y gastos relacionadas con el Costo Variable por Generación (CVG) , deberán
realizarse en cuentas separadas y debidamente identificadas en todos los
estados financieros.
g) La información del punto anterior deberá
estar conciliada en los estados financieros trimestrales y anuales (estos
últimos auditados) del ICE. Los estados trimestrales se remitirán a la Aresep,
en las fechas que se establezcan en los requerimientos respectivos. Los
reportes deben detallar adecuadamente los rubros relacionados con el CVG e
incluir las respectivas justificaciones cuando se realicen ajustes en estas
cuentas.
h) En los Estados Financieros Auditados el ICE
deberá presentar una sección exclusiva con el detalle de las cuentas
relacionadas con esta metodología.
i) La información relacionada con ingresos y
costos del CVG debe remitirse acompañada con una constancia sobre los saldos de
estas cuentas, pues ya se cuenta con otros mecanismos para validar la
información.
j) Toda la información aportada por las
empresas eléctricas relacionada con esta metodología tarifaria debe acompañarse
de una declaración jurada indicando que la información remitida es veraz,
firmada por el funcionario responsable del trámite respectivo.
k) Toda la información aportada deberá ser
presentada en forma digital y los cálculos asociados deberán ser remitidos en
hojas electrónicas en formato "Excel", perfectamente editable y con
los respectivos vínculos.
l) Si cualquiera de los días mencionados en los
puntos anteriores no es hábil, se entenderá referido al día hábil inmediato
anterior.
m) Como requisito para la aplicación de esta
metodología, se requiere que todas las empresas distribuidoras y el sistema de
generación del ICE cumplan en oportunidad y calidad con todos los
requerimientos de información, incluyendo las respectivas solicitudes de
modificación y revisión que la Aresep haya solicitado, en especial la solicitud
de información indicada en la
RIE-089-2016.
Toda
la información cuantitativa solicitada en esta sección, u otra que
eventualmente se requiera, deberán ser presentadas, en forma impresa,
acompañada de los archivos electrónicos completos, en formato de hoja
"Excel", con sus respectivas fórmulas y sin bloqueos.
Toda
la información originalmente aportada será utilizada para hacer la publicación
de la consulta pública respectiva.
La
ARESEP efectuará revisiones periódicas a la información que presente el ICE y
las demás empresas eléctricas, según los requerimientos que se detallaron.
Asimismo
efectuará directamente o contratará con terceros, procesos de revisión, que
pueden incluir auditorias operativas, sobre los procesos de despacho que
efectué el ICE a través del Centro Nacional de Control de Energía (CENCE), para
garantizar que estos procesos cumplan con el objetivo de garantizar la mayor
eficiencia en el despacho nacional y el óptimo aprovechamiento de los recursos
para la generación eléctrica.
10. APLICACIÓN POR PRIMERA VEZ
La
primera aplicación de esta metodología tarifaria se realizará en el siguiente
trimestre después de publicarse la respectiva resolución en el diario oficial
La Gaceta, en el tanto no esté en proceso una fijación tarifaria con la
metodología aprobada mediante la resolución RJD-017-2012; en cuyo caso, la
primera aplicación se postergaría hasta el siguiente trimestre.
Para
la primera aplicación de esta metodología tarifaria o simultáneamente con ella,
la Autoridad Reguladora ajustará, de oficio, las tarifas base ( las no
contempla los costos de combustible e importaciones netas) de todas las
empresas distribuidoras, para garantizar que no se dupliquen los costos
relacionados con la importación de energía eléctrica del MER; o cualquier otro
rubro de costo.